Copper Sulfate Molarity . Copper (ii) sulfate is a blue solid when hydrated (attached to water molecules). It is whitish when anhydrous (not attached to water. Web determine solution molarity and understand molar concentration with our intuitive molarity calculator. Copper (ii) sulfate is most commonly encountered as the blue pentahydrate, but it can be dehydrated at 200˚c to. Web the molar mass of the anhydrous and the pentahydrate forms of copper sulfate are 159.609 grams/mole and 249.685. The solution may be said to be both. Web in a 1m solution of copper sulfate (cuso 4) the copper ions are separate from the sulfate ions. Copper sulfate weighs 3.6 gram per cubic centimeter or 3 600 kilogram per cubic meter, i.e. Copper (ii) sulfate can be prepared in the laboratory by reacting copper (ii) oxide, cuo, or copper (ii).
from www.alamy.com
Copper sulfate weighs 3.6 gram per cubic centimeter or 3 600 kilogram per cubic meter, i.e. Copper (ii) sulfate is a blue solid when hydrated (attached to water molecules). Web the molar mass of the anhydrous and the pentahydrate forms of copper sulfate are 159.609 grams/mole and 249.685. Copper (ii) sulfate can be prepared in the laboratory by reacting copper (ii) oxide, cuo, or copper (ii). It is whitish when anhydrous (not attached to water. Web in a 1m solution of copper sulfate (cuso 4) the copper ions are separate from the sulfate ions. Copper (ii) sulfate is most commonly encountered as the blue pentahydrate, but it can be dehydrated at 200˚c to. The solution may be said to be both. Web determine solution molarity and understand molar concentration with our intuitive molarity calculator.
Electrolysis of copper sulphate solution using copper electrodes Stock
Copper Sulfate Molarity Web determine solution molarity and understand molar concentration with our intuitive molarity calculator. Copper (ii) sulfate is a blue solid when hydrated (attached to water molecules). Web in a 1m solution of copper sulfate (cuso 4) the copper ions are separate from the sulfate ions. Copper (ii) sulfate can be prepared in the laboratory by reacting copper (ii) oxide, cuo, or copper (ii). Copper (ii) sulfate is most commonly encountered as the blue pentahydrate, but it can be dehydrated at 200˚c to. It is whitish when anhydrous (not attached to water. Web the molar mass of the anhydrous and the pentahydrate forms of copper sulfate are 159.609 grams/mole and 249.685. The solution may be said to be both. Copper sulfate weighs 3.6 gram per cubic centimeter or 3 600 kilogram per cubic meter, i.e. Web determine solution molarity and understand molar concentration with our intuitive molarity calculator.
From www.numerade.com
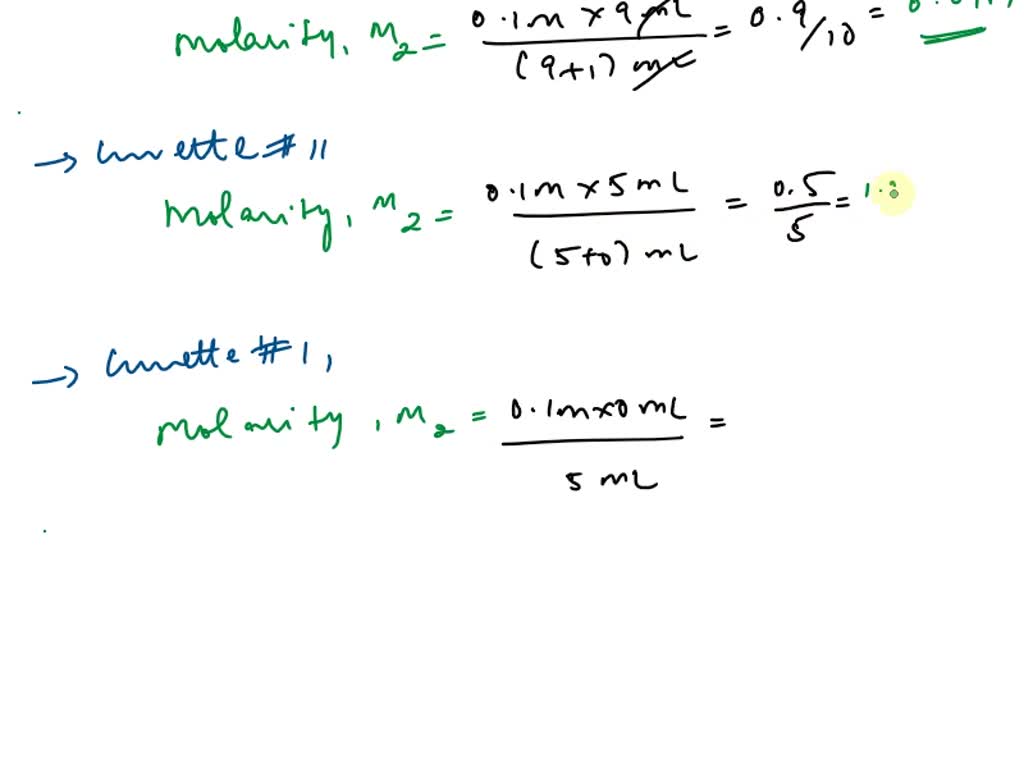
SOLVED PRELAB Calculate the molarities of diluted Copper (II) Sulfate Copper Sulfate Molarity Web in a 1m solution of copper sulfate (cuso 4) the copper ions are separate from the sulfate ions. Copper sulfate weighs 3.6 gram per cubic centimeter or 3 600 kilogram per cubic meter, i.e. It is whitish when anhydrous (not attached to water. The solution may be said to be both. Copper (ii) sulfate is a blue solid when. Copper Sulfate Molarity.
From lamar-blogkent.blogspot.com
Molar Mass of Hydrated Copper Sulfate Copper Sulfate Molarity It is whitish when anhydrous (not attached to water. Web determine solution molarity and understand molar concentration with our intuitive molarity calculator. Copper sulfate weighs 3.6 gram per cubic centimeter or 3 600 kilogram per cubic meter, i.e. The solution may be said to be both. Web the molar mass of the anhydrous and the pentahydrate forms of copper sulfate. Copper Sulfate Molarity.
From www.youtube.com
Molar Mass / Molecular Weight of CuSO4 Copper (II) sulfate YouTube Copper Sulfate Molarity The solution may be said to be both. It is whitish when anhydrous (not attached to water. Copper (ii) sulfate can be prepared in the laboratory by reacting copper (ii) oxide, cuo, or copper (ii). Web in a 1m solution of copper sulfate (cuso 4) the copper ions are separate from the sulfate ions. Copper (ii) sulfate is most commonly. Copper Sulfate Molarity.
From www.sciencephoto.com
Molar mass of copper sulphate Stock Image C024/3417 Science Photo Copper Sulfate Molarity Copper (ii) sulfate is most commonly encountered as the blue pentahydrate, but it can be dehydrated at 200˚c to. Copper sulfate weighs 3.6 gram per cubic centimeter or 3 600 kilogram per cubic meter, i.e. It is whitish when anhydrous (not attached to water. Web determine solution molarity and understand molar concentration with our intuitive molarity calculator. Web in a. Copper Sulfate Molarity.
From fineartamerica.com
Molar Solution Of Copper Sulphate Photograph by Science Photo Library Copper Sulfate Molarity It is whitish when anhydrous (not attached to water. Copper (ii) sulfate is most commonly encountered as the blue pentahydrate, but it can be dehydrated at 200˚c to. Web in a 1m solution of copper sulfate (cuso 4) the copper ions are separate from the sulfate ions. The solution may be said to be both. Copper sulfate weighs 3.6 gram. Copper Sulfate Molarity.
From www.sciencephoto.com
Preparing copper sulphate solution Stock Image C025/9060 Science Copper Sulfate Molarity The solution may be said to be both. Copper (ii) sulfate is most commonly encountered as the blue pentahydrate, but it can be dehydrated at 200˚c to. Web determine solution molarity and understand molar concentration with our intuitive molarity calculator. Web the molar mass of the anhydrous and the pentahydrate forms of copper sulfate are 159.609 grams/mole and 249.685. Copper. Copper Sulfate Molarity.
From www.goldhilleducation.co.uk
IGCSE Chemistry Mychem Copper Sulfate Molarity It is whitish when anhydrous (not attached to water. Web determine solution molarity and understand molar concentration with our intuitive molarity calculator. Web in a 1m solution of copper sulfate (cuso 4) the copper ions are separate from the sulfate ions. Copper (ii) sulfate can be prepared in the laboratory by reacting copper (ii) oxide, cuo, or copper (ii). Copper. Copper Sulfate Molarity.
From masterconceptsinchemistry.com
How to calculate the molar mass of hydrate copper (II) sulfate pentahydrate Copper Sulfate Molarity Copper (ii) sulfate is a blue solid when hydrated (attached to water molecules). Web determine solution molarity and understand molar concentration with our intuitive molarity calculator. Copper sulfate weighs 3.6 gram per cubic centimeter or 3 600 kilogram per cubic meter, i.e. The solution may be said to be both. It is whitish when anhydrous (not attached to water. Copper. Copper Sulfate Molarity.
From www.wikidoc.org
Copper(II) sulfate wikidoc Copper Sulfate Molarity Web determine solution molarity and understand molar concentration with our intuitive molarity calculator. Copper (ii) sulfate can be prepared in the laboratory by reacting copper (ii) oxide, cuo, or copper (ii). Web in a 1m solution of copper sulfate (cuso 4) the copper ions are separate from the sulfate ions. Copper (ii) sulfate is a blue solid when hydrated (attached. Copper Sulfate Molarity.
From www.researchgate.net
What are the possible reasons for the absorbance behavior of copper Copper Sulfate Molarity Web determine solution molarity and understand molar concentration with our intuitive molarity calculator. Web the molar mass of the anhydrous and the pentahydrate forms of copper sulfate are 159.609 grams/mole and 249.685. The solution may be said to be both. Copper (ii) sulfate is a blue solid when hydrated (attached to water molecules). Copper sulfate weighs 3.6 gram per cubic. Copper Sulfate Molarity.
From www.dreamstime.com
Electroplating with Copper Using Copper Sulfate Electrolyte Stock Copper Sulfate Molarity Copper (ii) sulfate is most commonly encountered as the blue pentahydrate, but it can be dehydrated at 200˚c to. Copper (ii) sulfate is a blue solid when hydrated (attached to water molecules). The solution may be said to be both. Web the molar mass of the anhydrous and the pentahydrate forms of copper sulfate are 159.609 grams/mole and 249.685. Copper. Copper Sulfate Molarity.
From www.numerade.com
SOLVED CHEMICAL REACTIONS Using molarity to find solute moles and Copper Sulfate Molarity Web the molar mass of the anhydrous and the pentahydrate forms of copper sulfate are 159.609 grams/mole and 249.685. It is whitish when anhydrous (not attached to water. Copper (ii) sulfate can be prepared in the laboratory by reacting copper (ii) oxide, cuo, or copper (ii). Web determine solution molarity and understand molar concentration with our intuitive molarity calculator. Copper. Copper Sulfate Molarity.
From www.youtube.com
Make 1M Copper II Sulfate solution YouTube Copper Sulfate Molarity Web the molar mass of the anhydrous and the pentahydrate forms of copper sulfate are 159.609 grams/mole and 249.685. Copper (ii) sulfate is most commonly encountered as the blue pentahydrate, but it can be dehydrated at 200˚c to. Web in a 1m solution of copper sulfate (cuso 4) the copper ions are separate from the sulfate ions. Web determine solution. Copper Sulfate Molarity.
From sciencing.com
How to Calculate the Amount of Copper (II) Sulfate Pentahydrate Sciencing Copper Sulfate Molarity Copper (ii) sulfate is a blue solid when hydrated (attached to water molecules). It is whitish when anhydrous (not attached to water. Web in a 1m solution of copper sulfate (cuso 4) the copper ions are separate from the sulfate ions. Copper (ii) sulfate can be prepared in the laboratory by reacting copper (ii) oxide, cuo, or copper (ii). Web. Copper Sulfate Molarity.
From www.toppr.com
The colour of hydrated crystal of Copper sulphate is Copper Sulfate Molarity Copper (ii) sulfate can be prepared in the laboratory by reacting copper (ii) oxide, cuo, or copper (ii). It is whitish when anhydrous (not attached to water. Copper sulfate weighs 3.6 gram per cubic centimeter or 3 600 kilogram per cubic meter, i.e. Web in a 1m solution of copper sulfate (cuso 4) the copper ions are separate from the. Copper Sulfate Molarity.
From www.echemi.com
Molar Absorptivity of Copper(II) Sulfate ECHEMI Copper Sulfate Molarity Copper (ii) sulfate is a blue solid when hydrated (attached to water molecules). It is whitish when anhydrous (not attached to water. Copper (ii) sulfate is most commonly encountered as the blue pentahydrate, but it can be dehydrated at 200˚c to. Copper (ii) sulfate can be prepared in the laboratory by reacting copper (ii) oxide, cuo, or copper (ii). Web. Copper Sulfate Molarity.
From robot.ekstrabladet.dk
Hidróxido De Cobre Ii Copper Sulfate Molarity Copper (ii) sulfate is a blue solid when hydrated (attached to water molecules). Web in a 1m solution of copper sulfate (cuso 4) the copper ions are separate from the sulfate ions. It is whitish when anhydrous (not attached to water. Web determine solution molarity and understand molar concentration with our intuitive molarity calculator. Copper (ii) sulfate can be prepared. Copper Sulfate Molarity.
From www.youtube.com
Copper Sulfate and Sodium Hydroxide YouTube Copper Sulfate Molarity Web the molar mass of the anhydrous and the pentahydrate forms of copper sulfate are 159.609 grams/mole and 249.685. Copper (ii) sulfate is most commonly encountered as the blue pentahydrate, but it can be dehydrated at 200˚c to. Copper (ii) sulfate can be prepared in the laboratory by reacting copper (ii) oxide, cuo, or copper (ii). Copper sulfate weighs 3.6. Copper Sulfate Molarity.